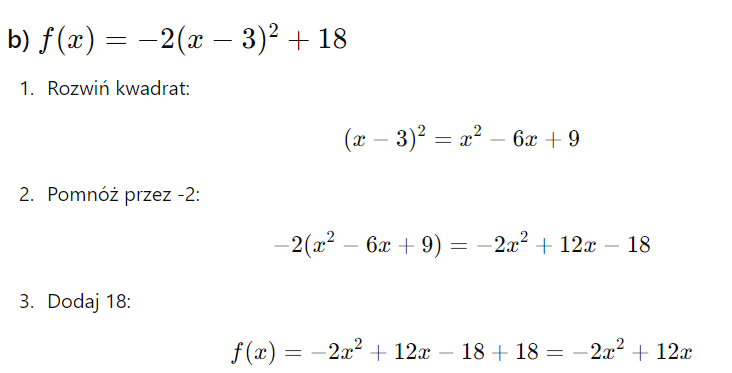
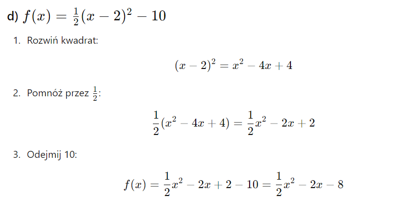
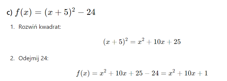
6.14 Dany jest wzór funkcji kwadratowej w postaci kanonicznej. Sprowadź ten wzór do postaci ogólnej


Komentarze

Dodaj komentarz

Twój adres e-mail nie zostanie opublikowany. Wymagane pola są oznaczone *